Food Service τ. 129 - page 14

FOOD
Service
14
Η
κάθε πίτα μπορεί να έχει τη
δικιά της ονομασία σύμφωνα
με την ντοπιολαλιά της περιο-
χής. Πολλές φορές η παρα-
σκευή της πίτας ήταν μια μέ-
θοδος οικιακής οικονομίας για την αξιοποί-
ηση υλικών που δεν μπορούσαν να συντη-
ρηθούν ή θεωρούνταν δευτερεύοντα. Η πί-
τα επίσης είχε τη δυνατότητα της φορητό-
τητας, έτσι μπορούσε να αποτελέσει ένα
γευστικό και θρεπτικό κολατσιό. Άλλες πά-
λι πίτες συνδέονται με έθιμα της λαϊκής
παράδοσης. Κάθε παραδοσιακή πίτα είναι
ένα προϊόν με τις δικές του ιδιαιτερότητες,
γεγονός που την καθιστά γαστρονομικό εί-
δος.
Η ερευνητική μας ομάδα έχει καταγρά-
ψει πάνω από 250 παραδοσιακές πίτες με
πλήρη στοιχεία για τα υλικά και τον τρόπο
παρασκευής.
Οι πηγές μας για την καταγραφή των
συνταγών για τις πίτες (καθώς και άλλες
ελληνικές συνταγές) ήταν κλασικά βιβλία
μαγειρικής από καταξιωμένους συγγρα-
φείς, λέσχες μαγείρων και γαστρονομίας,
εθνογραφικές οργανώσεις και μουσεία,
καθώς και ορισμένες ιστοσελίδες που
εστιάζουν στην παραδοσιακή ελληνική
κουζίνα (κατόπιν ελέγχου της αξιοπιστίας
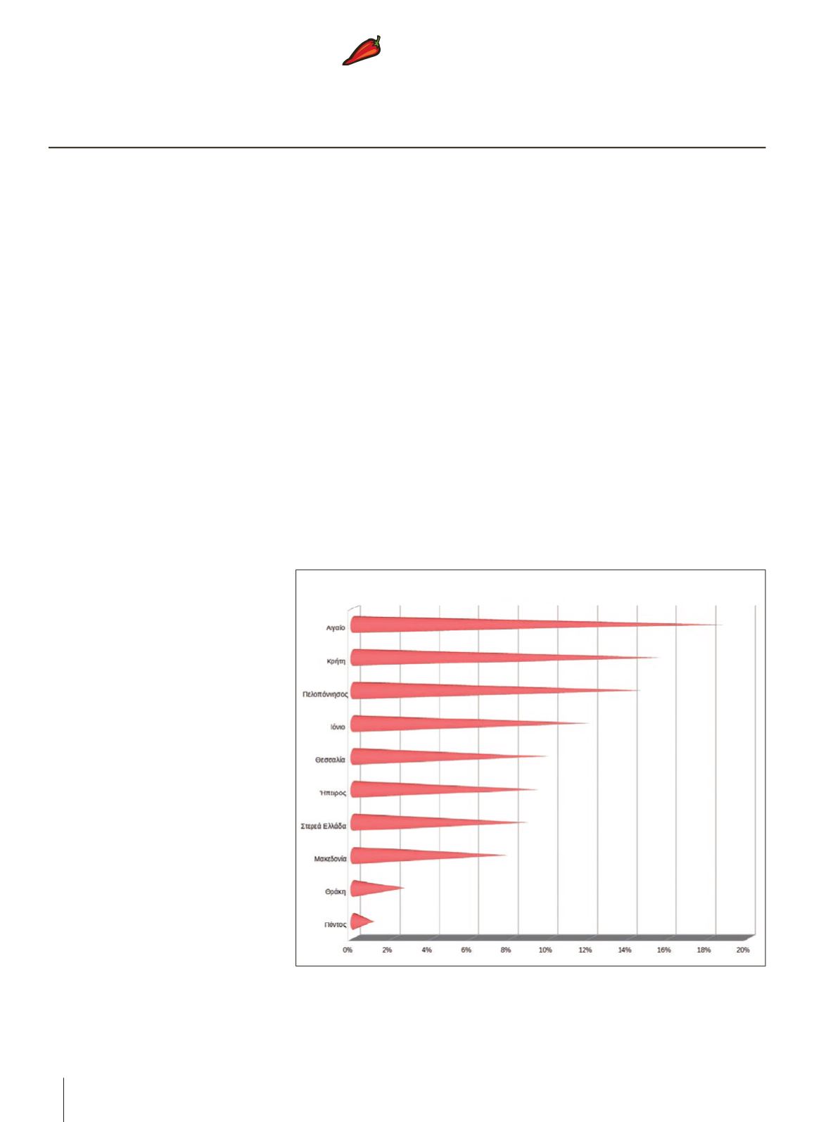
τους). Στο
Σχήμα 1
βλέπετε τον αριθμό
συνταγών πίτας ανά γεωγραφική περιοχή
που καταγράφηκαν. Περισσότερες παραλ-
λαγές συνταγής για πίτα βρήκαμε σε (με
φθίνουσα σειρά): Κολοκυθόπιτα, Χορτόπι-
τα, Καλτσούνια, Μυζηθρόπιτα, Τυρόπιτα,
Γαλατόπιτα, Σφακιανή πίτα. Άρα η χρήση
της φράσης «περί ορέξεως κολοκυθόπιτα»
είναι απόλυτα δικαιολογημένη όταν ο κα-
θένας απαιτεί κάτι με το δικό του τρόπο.
Σε κάθε γωνιά της Ελλάδας υπάρχει μια παραδοσιακή πίτα η οποία διαφέρει
από την κλασική τυρόπιτα ή σπανακοτυρόπιτα που σερβίρονται παντού. Οι δια-
φορές είναι στο είδος της γέμισης, στο είδος του φύλλου, στον τρόπο παρα-
σκευής ή απλώς μόνο στο όνομα ή στο σχήμα.
αφιέρωμα
Μπόσκου Γεώργιος,
Χαροκόπειο Πανεπιστήμιο
ΣΧΗΜΑ 1: Αριθμός συνταγών πίτας ανά γεωγραφική περιοχή
Γνωρίστε την ελληνική γαστρονομία
«Για ένα κομμάτι
πίτα...»
1...,4,5,6,7,8,9,10,11,12,13 15,16,17,18,19,20,21,22,23,24,...60
Powered by FlippingBook